Joinery unit sealed in Rafiabad; probe widens to expose supply chain, possible official complicity


INAYAT QAYOOM
Baramulla, April 01:
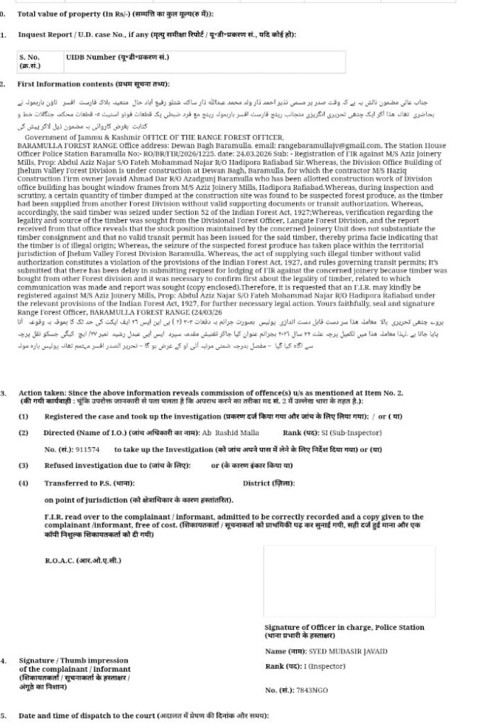
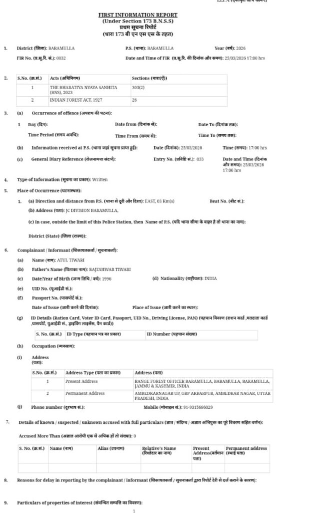
In a startling revelation that has raised serious questions over the safeguarding of forest resources, the Forest Department in Baramulla has registered an FIR after illegally sourced wooden frames were found to have been used in the construction of the Divisional Forest Officer (DFO) office building.
The development has triggered a major investigation, with officials probing how timber, allegedly obtained through unlawful felling, was processed and supplied for use in a government infrastructure project itself.
Official sources said the wooden frames were brought to the construction site on February 28. Preliminary findings point towards a joinery unit in the Rafiabad area, where the illicit timber was reportedly converted into frames.
Acting decisively, the DFO Baramulla lodged an FIR at Police Station Baramulla under FIR No. 32, invoking Section 303(2) of the Bharatiya Nyaya Sanhita (BNS) and Section 26 of the Indian Forest Act, 1927. The move is being seen as a significant step towards enforcing accountability in the sector.
In a swift crackdown, the DFO Langate ordered the seizure of the identified joinery unit. Officials confirmed that the unit was engaged in processing timber sourced from green trees felled in violation of forest laws.
A detailed report submitted by the Ranger Rafiabad has outlined crucial findings regarding the origin, processing, and transportation of the timber, paving the way for further action by higher authorities.
Sources said the probe will delve into the entire supply chain — from the origin of the timber to its processing and transportation — while also examining whether any officials had prior knowledge or failed to act despite warning signs.
The incident has sparked concern over possible lapses in monitoring and enforcement, with questions being raised about how such a large quantity of illegal material went undetected.
Authorities have made it clear that strict action will follow against anyone found involved, including officials, if complicity is established.
Further investigation is underway, with more revelations expected.(SNS)
